Официальное опубликование правовых актов
ОФИЦИАЛЬНОЕ ОПУБЛИКОВАНИЕ
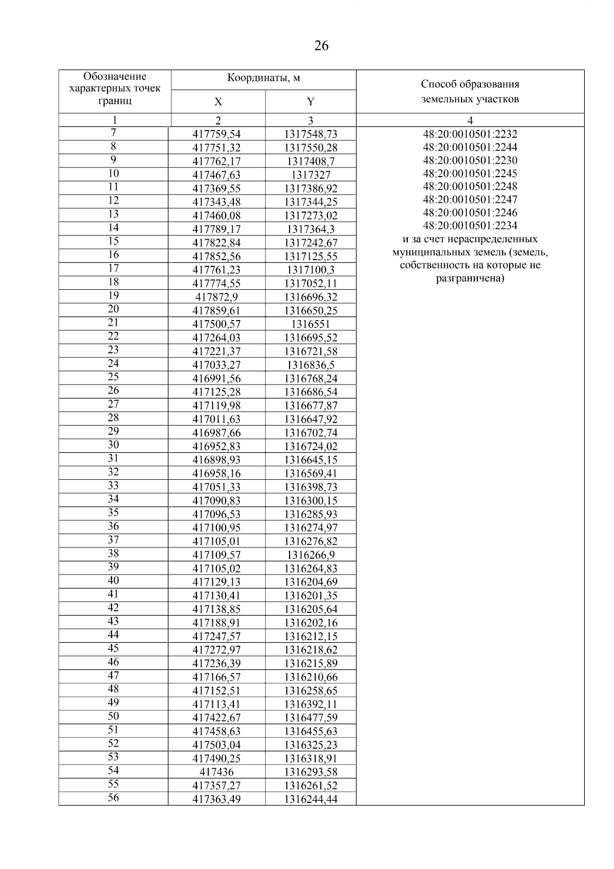
Приказ управления строительства и архитектуры Липецкой области от 11.06.2024 № 224
"Об утверждении проекта изменений в документацию по планировке территории (проект планировки и проект межевания) зоны делового, общественного и коммунально-складского назначения в районе автомобильной дороги Орел-Тамбов и Елецкого шоссе в городе Липецке"
Номер опубликования: 4801202406170001
Дата опубликования: 17.06.2024
Страница №28 из 40:
Увеличить