Официальное опубликование правовых актов
ОФИЦИАЛЬНОЕ ОПУБЛИКОВАНИЕ
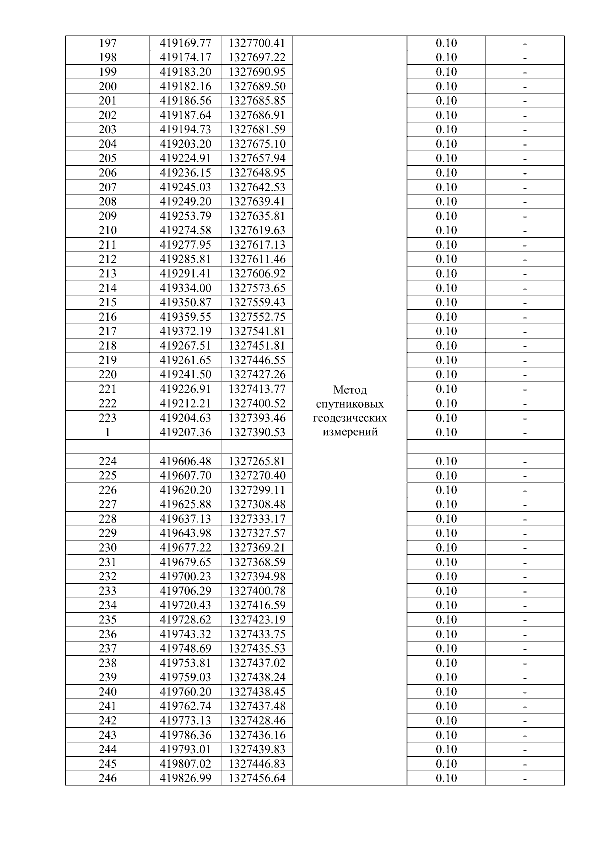
Постановление управления энергетики и тарифов Липецкой области от 19.04.2024 № 20/4
"О внесении изменения в постановление управления энергетики и тарифов Липецкой области от 25 января 2024 года № 2/4 "Об утверждении границ охранных зон газораспределительных сетей АО "Газпром газораспределение Липецк"
Номер опубликования: 4801202404260017
Дата опубликования: 26.04.2024
Страница №8 из 24:
Увеличить