Официальное опубликование правовых актов
ОФИЦИАЛЬНОЕ ОПУБЛИКОВАНИЕ
Приказ управления имущественных и земельных отношений Липецкой области от 16.04.2024 № 26
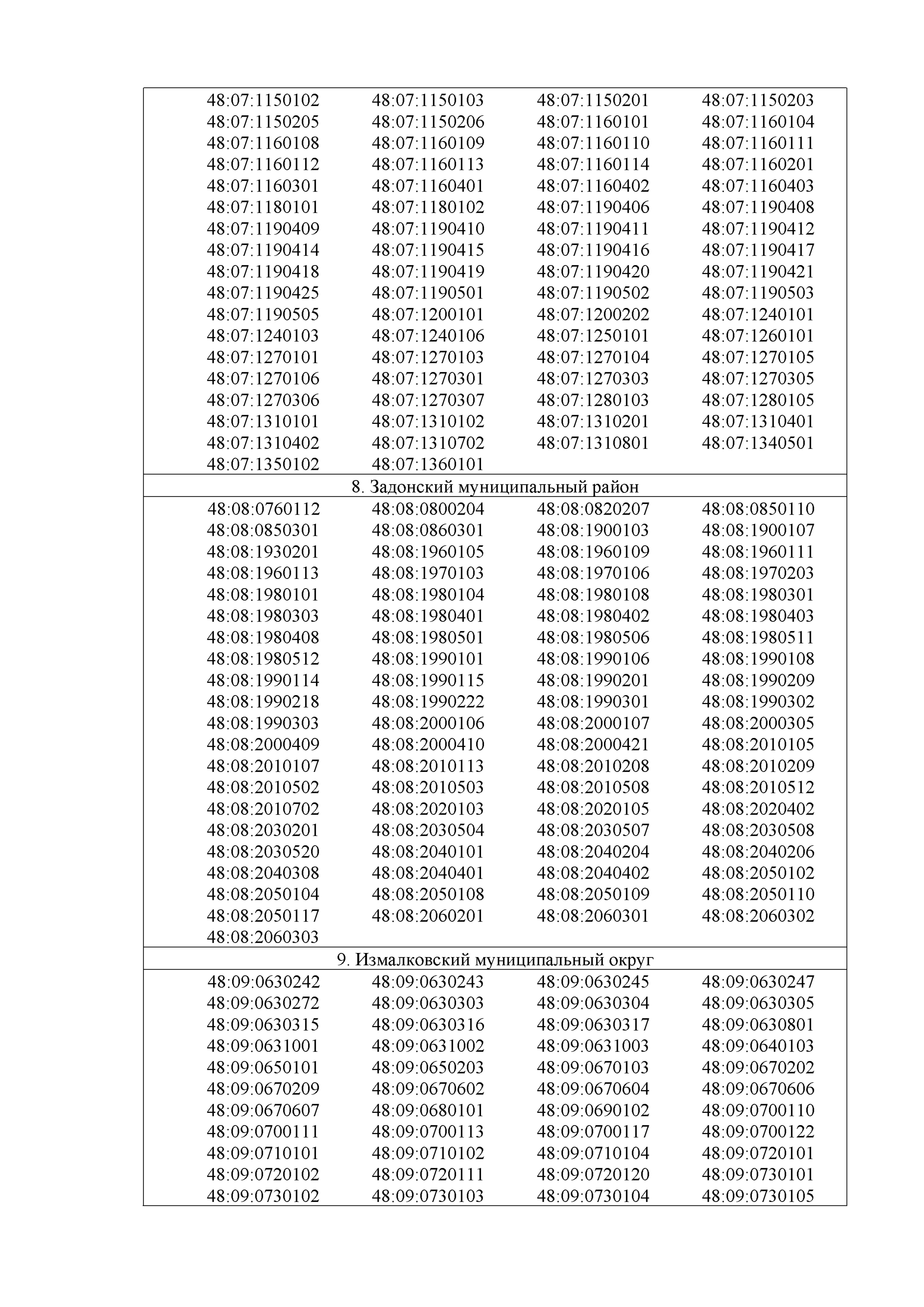
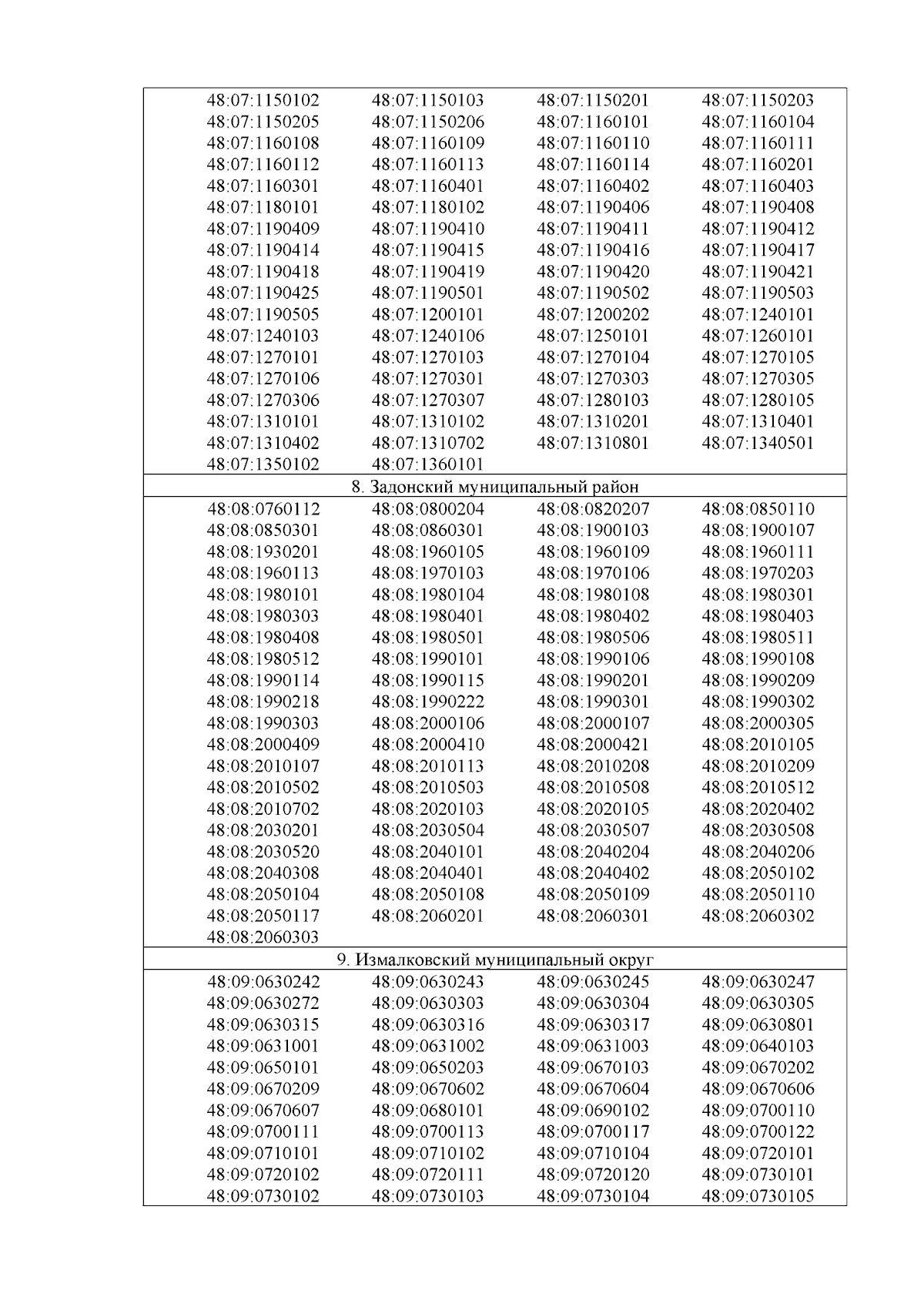
"О внесении изменений в приказ управления имущественных и земельных отношений Липецкой области от 6 марта 2023 года № 10 "Об утверждении перечней кадастровых кварталов Липецкой области, в границах которых планируется проведение комплексных кадастровых работ в 2024-2026 годах"
Номер опубликования: 4801202404240012
Дата опубликования: 24.04.2024
Страница №36 из 44: