Официальное опубликование правовых актов
ОФИЦИАЛЬНОЕ ОПУБЛИКОВАНИЕ
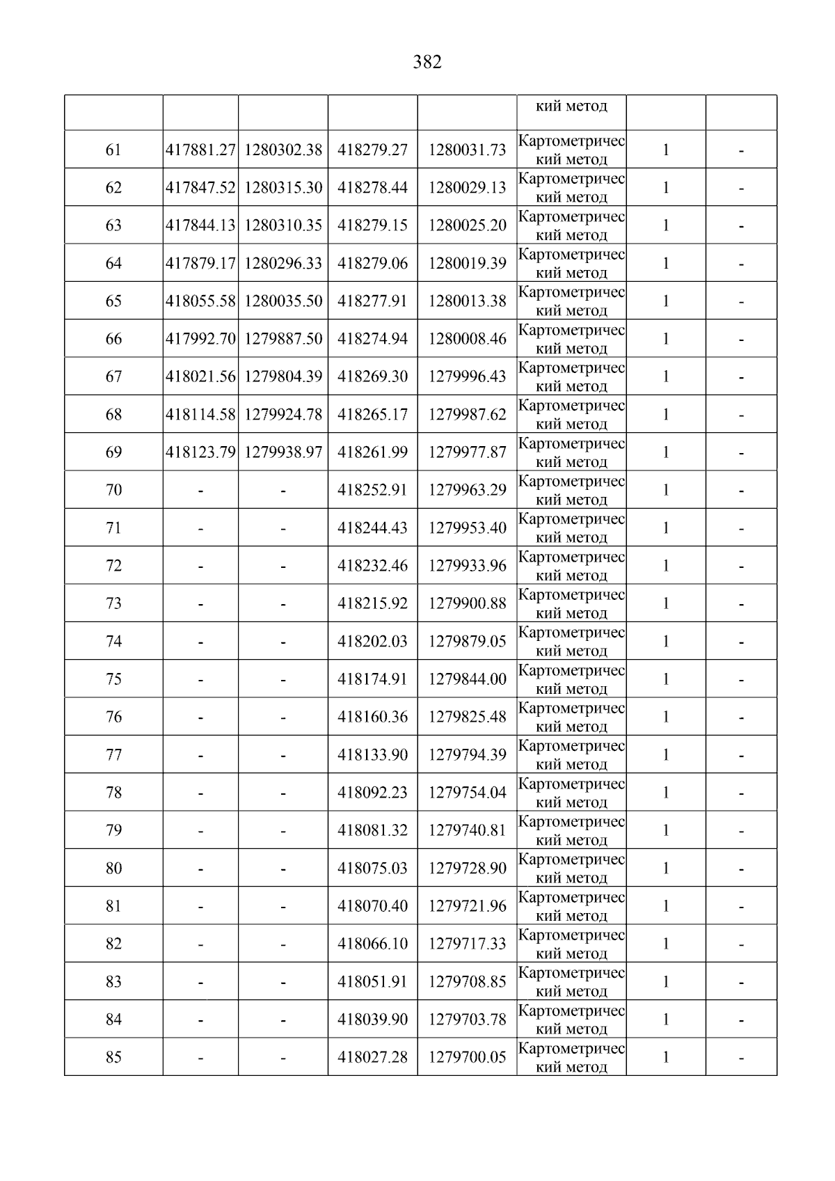
Приказ управления строительства и архитектуры Липецкой области от 16.04.2024 № 146
"О принятии решения об утверждении правил землепользования и застройки сельского поселения Донской сельсовет Задонского муниципального района Липецкой области"
Номер опубликования: 4801202404240011
Дата опубликования: 24.04.2024
Страница №384 из 391:
Увеличить