Официальное опубликование правовых актов
ОФИЦИАЛЬНОЕ ОПУБЛИКОВАНИЕ
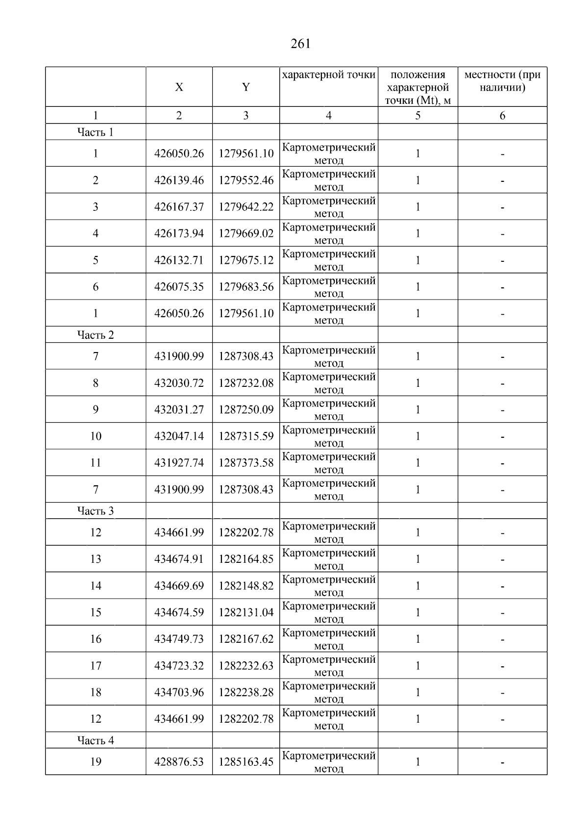
Приказ управления строительства и архитектуры Липецкой области от 02.02.2024 № 34
"О принятии решения об утверждении правил землепользования и застройки сельского поселения Скорняковский сельсовет Задонского муниципального района Липецкой области"
Номер опубликования: 4801202402090006
Дата опубликования: 09.02.2024
Страница №263 из 265:
Увеличить