Официальное опубликование правовых актов
ОФИЦИАЛЬНОЕ ОПУБЛИКОВАНИЕ
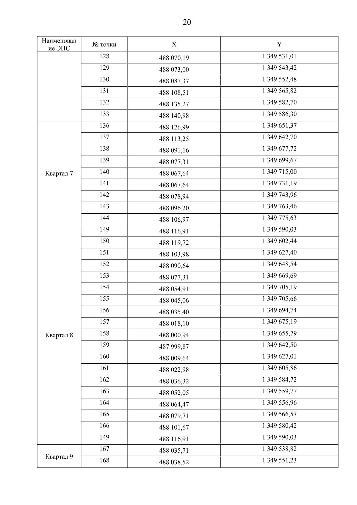
Приказ управления строительства и архитектуры Липецкой области от 02.02.2024 № 33
"Об утверждении документации по планировке территории (проект планировки и проект межевания) в районе ул. Островская и Становая в г. Чаплыгине Чаплыгинского муниципального района"
Номер опубликования: 4801202402090002
Дата опубликования: 09.02.2024
Страница №22 из 61:
Увеличить