Официальное опубликование правовых актов
ОФИЦИАЛЬНОЕ ОПУБЛИКОВАНИЕ
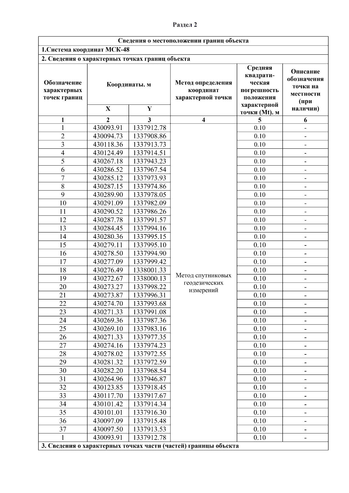
Постановление управления энергетики и тарифов Липецкой области от 25.01.2024 № 2/6
"Об утверждении границ охранных зон газораспределительных сетей АО "Газпром газораспределение Липецк"
Номер опубликования: 4801202402020005
Дата опубликования: 02.02.2024
Страница №216 из 261:
Увеличить