Официальное опубликование правовых актов
ОФИЦИАЛЬНОЕ ОПУБЛИКОВАНИЕ
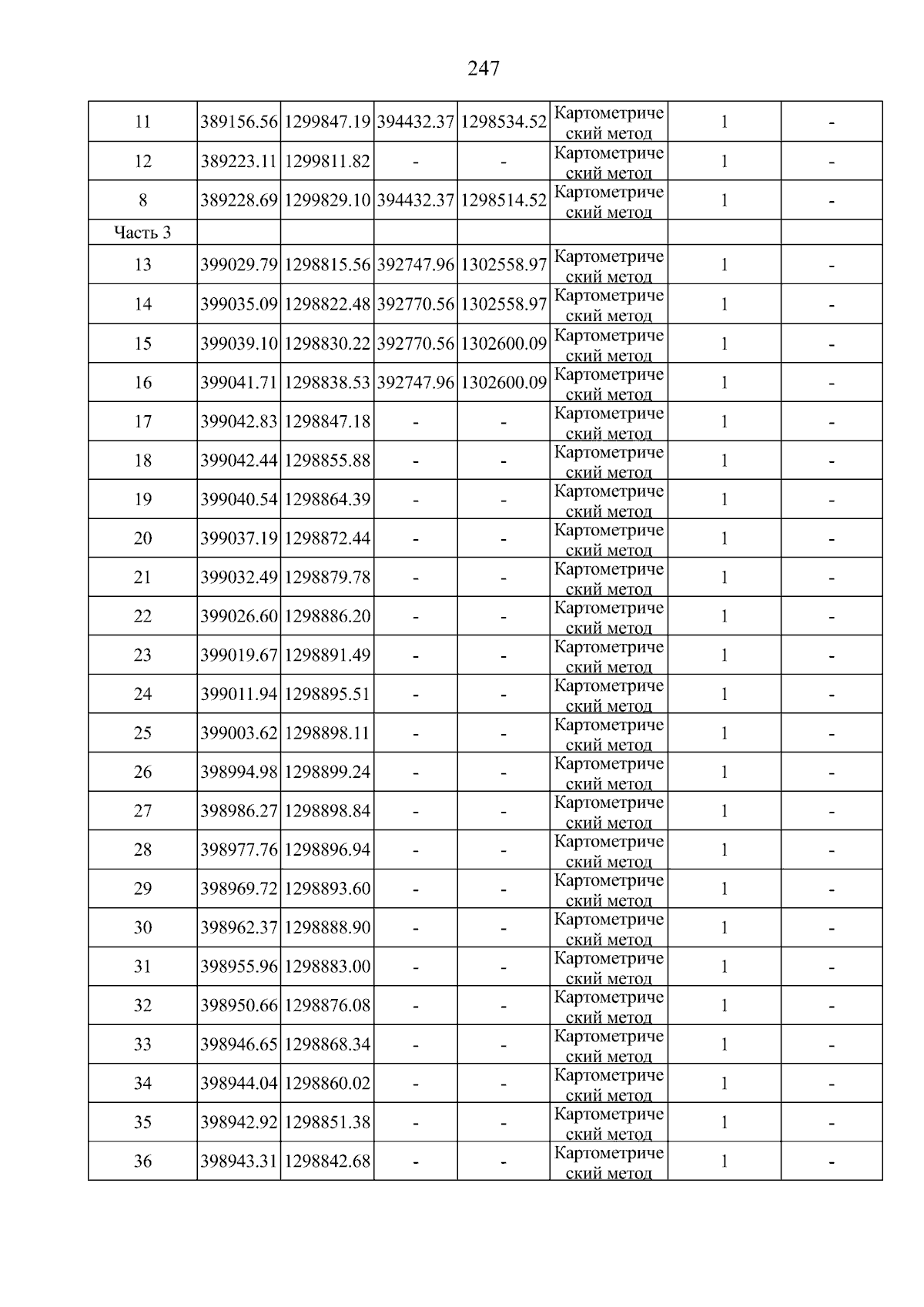
Приказ управления строительства и архитектуры Липецкой области от 27.12.2023 № 406 "О принятии решения об утверждении правил землепользования и застройки сельского поселения Стебаевский сельсовет Липецкого муниципального района Липецкой области"
Номер опубликования: 4801202312300005
Дата опубликования: 30.12.2023
Страница №249 из 403:
Увеличить