Официальное опубликование правовых актов
ОФИЦИАЛЬНОЕ ОПУБЛИКОВАНИЕ
Постановление управления энергетики и тарифов Липецкой области от 15.12.2023 № 65/27
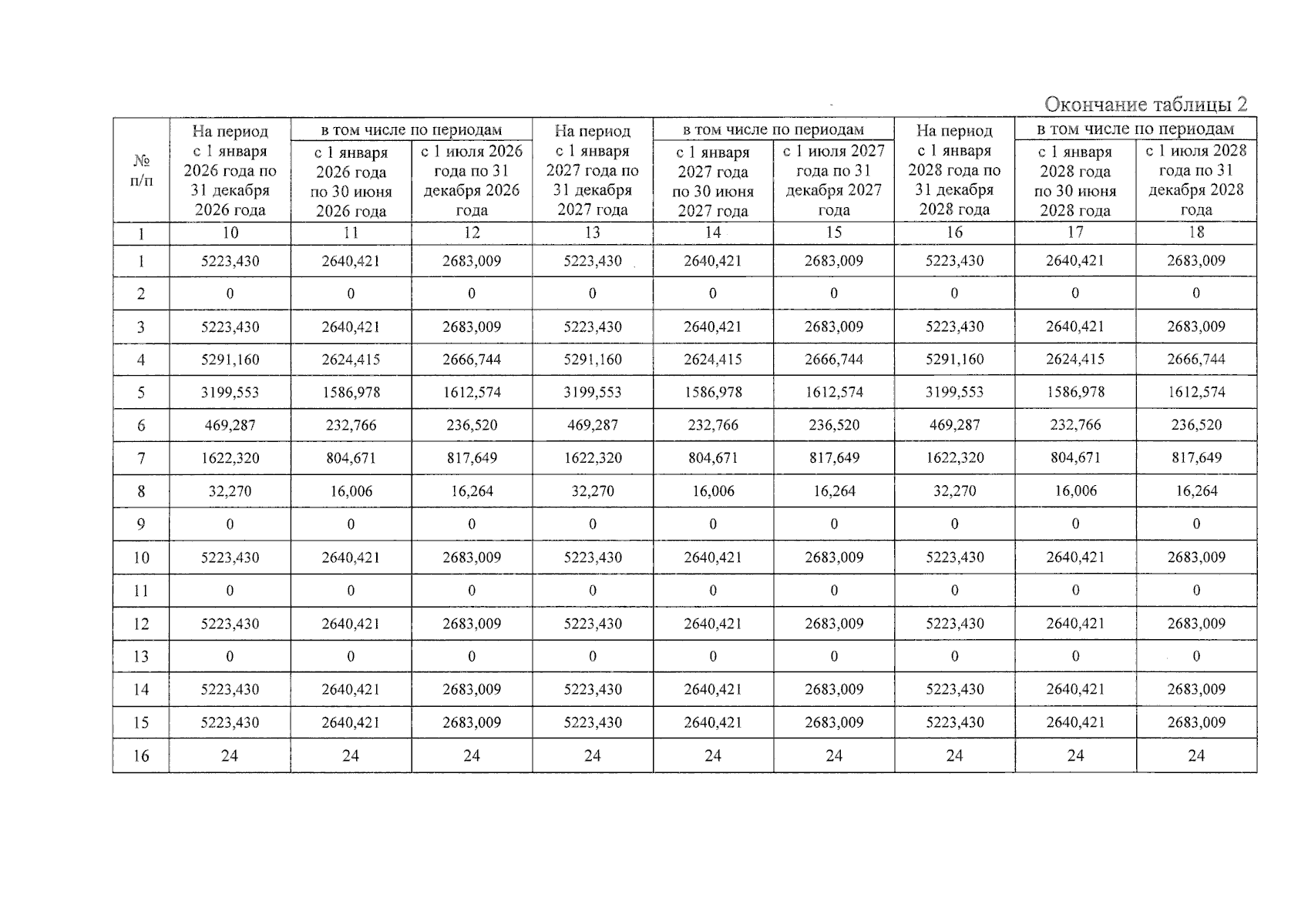
"О тарифах на водоотведение и долгосрочных параметрах регулирования ОГУП "Елецводоканал" (ИНН 4821002037) на территории городского округа город Елец и поселка Солидарность сельского поселения Архангельский сельсовет Елецкого муниципального района на 2024-2028 годы"
(Зарегистрирован 20.12.2023 № ГР-460)
Номер опубликования: 4801202312270021
Дата опубликования: 27.12.2023
Страница №6 из 10:
Увеличить