Официальное опубликование правовых актов
ОФИЦИАЛЬНОЕ ОПУБЛИКОВАНИЕ
Постановление управления энергетики и тарифов Липецкой области от 14.12.2023 № 64/18
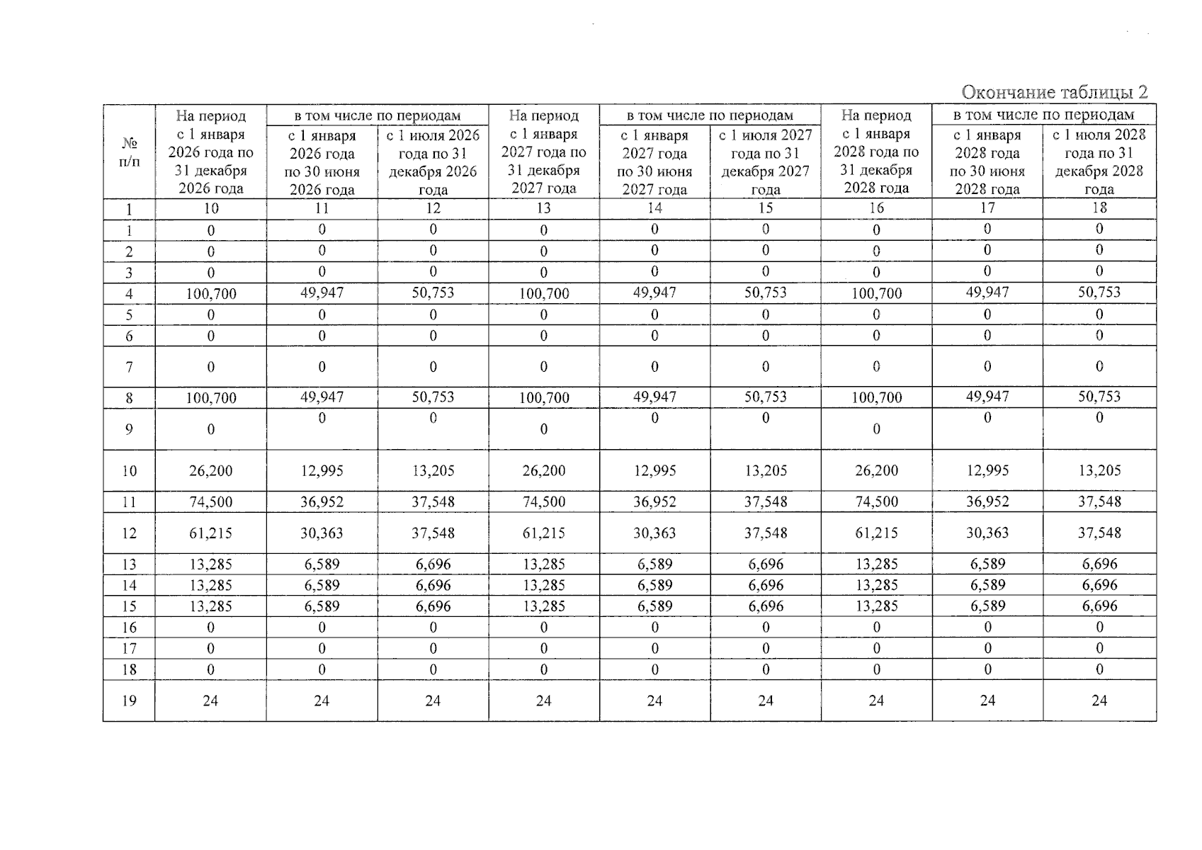
"О тарифах на питьевую воду и долгосрочных параметрах регулирования МУП "Задонский водоканал" (ИНН 4808003313) на 2024-2028 годы"
(Зарегистрирован 19.12.2023 № ГР-444)
Номер опубликования: 4801202312260011
Дата опубликования: 26.12.2023
Страница №10 из 16:
Увеличить