Официальное опубликование правовых актов
ОФИЦИАЛЬНОЕ ОПУБЛИКОВАНИЕ
Постановление управления энергетики и тарифов Липецкой области от 14.12.2023 № 64/11
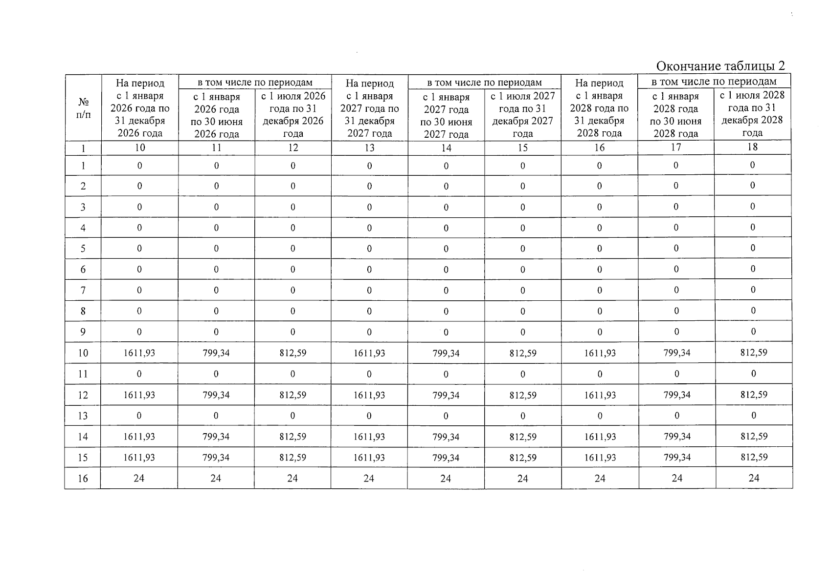
"О тарифах на водоотведение и долгосрочных параметрах регулирования МУП "Лебедянский водоканал" (ИНН 4811026470) на 2024-2028 годы"
(Зарегистрирован 16.12.2023 № ГР-393)
Номер опубликования: 4801202312250018
Дата опубликования: 25.12.2023
Страница №10 из 15:
Увеличить