Официальное опубликование правовых актов
ОФИЦИАЛЬНОЕ ОПУБЛИКОВАНИЕ
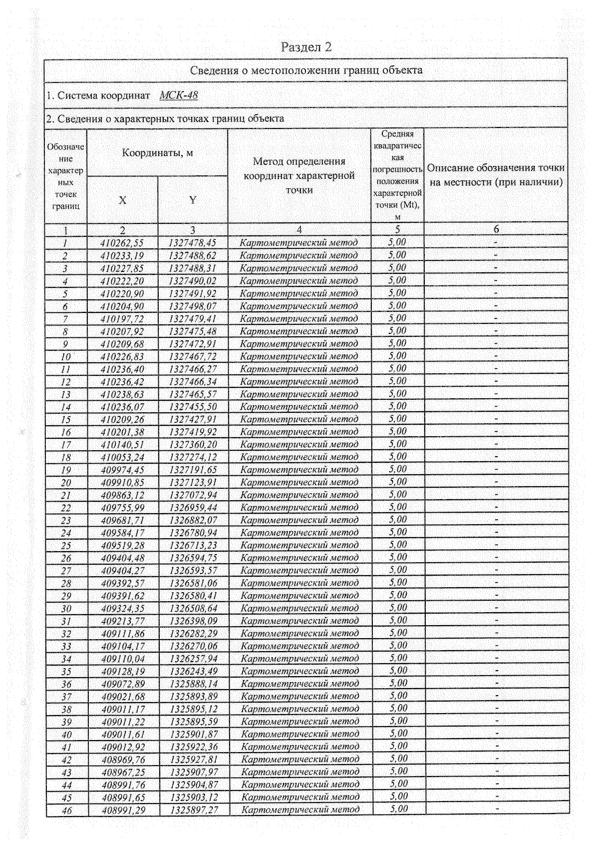
Постановление управления энергетики и тарифов Липецкой области от 06.12.2023 № 58/2
"Об утверждении границ охранных зон газораспределительной сети ПАО "Новолипецкий металлургический комбинат"
Номер опубликования: 4801202312140001
Дата опубликования: 14.12.2023
Страница №4 из 6:
Увеличить