Официальное опубликование правовых актов
ОФИЦИАЛЬНОЕ ОПУБЛИКОВАНИЕ
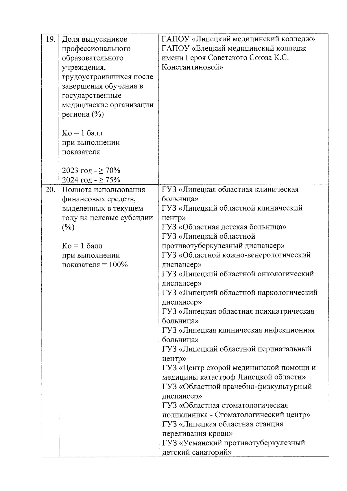
Приказ управления здравоохранения Липецкой области от 22.11.2023 № 1849н
"О внесении изменения в приказ управления здравоохранения Липецкой области от 13 октября 2022 года № 1450 "О показателях эффективности деятельности подведомственных управлению здравоохранения Липецкой области учреждений и их руководителей и признании утратившим силу приказа управления здравоохранения Липецкой области от 26 августа 2021 года № 1185 "О показателях эффективности деятельности подведомственных управлению здравоохранения Липецкой области учреждений и их руководителей и признании утратившими силу некоторых приказов управления здравоохранения Липецкой области"
Номер опубликования: 4801202311300004
Дата опубликования: 30.11.2023
Страница №26 из 36:
Увеличить