Официальное опубликование правовых актов
ОФИЦИАЛЬНОЕ ОПУБЛИКОВАНИЕ
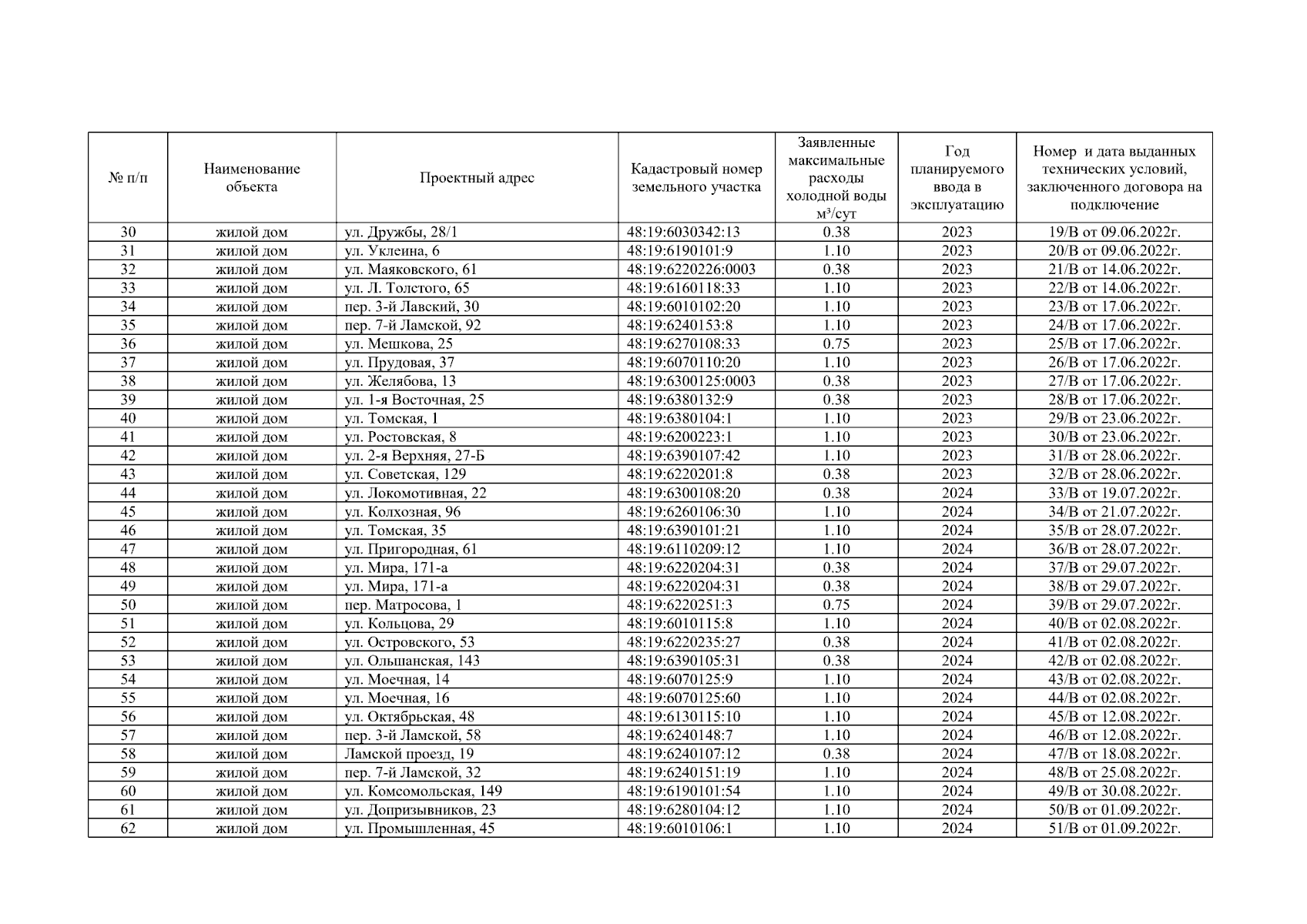
Приказ управления жилищно-коммунального хозяйства Липецкой области от 24.10.2023 № 01-03/790
"Об утверждении схем водоснабжения и водоотведения городского округа город Елец Липецкой области"
Номер опубликования: 4801202310270001
Дата опубликования: 27.10.2023
Страница №43 из 140:
Увеличить