Официальное опубликование правовых актов
ОФИЦИАЛЬНОЕ ОПУБЛИКОВАНИЕ
Приказ управления имущественных и земельных отношений Липецкой области от 28.04.2023 № 9-Н
"О внесении изменений в приказ управления имущественных и земельных отношений Липецкой области от 27 октября 2021 года № 121 "Об утверждении результатов определения кадастровой стоимости объектов недвижимости (за исключением земельных участков) на территории Липецкой области"
(Зарегистрирован 02.05.2023 № ГР-72)
Номер опубликования: 4801202305110011
Дата опубликования: 11.05.2023
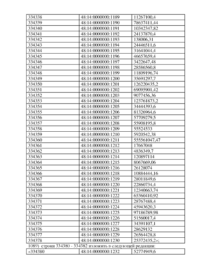
Страница №74 из 249:
Увеличить