Официальное опубликование правовых актов
ОФИЦИАЛЬНОЕ ОПУБЛИКОВАНИЕ
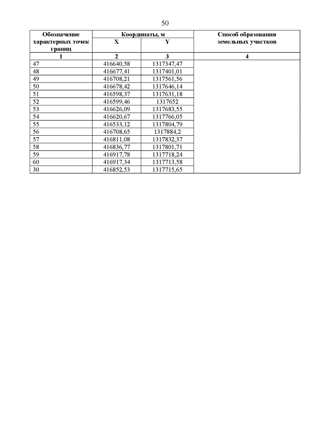
Приказ управления строительства и архитектуры Липецкой области от 20.03.2023 № 65
"Об утверждении документации по планировке территории (проект планировки и проект межевания) зоны делового, общественного и коммунально-складского назначения в районе автомобильной дороги Орел-Тамбов и Елецкого шоссе в городе Липецке"
Номер опубликования: 4801202303270007
Дата опубликования: 27.03.2023
Страница №52 из 53:
Увеличить