Официальное опубликование правовых актов
ОФИЦИАЛЬНОЕ ОПУБЛИКОВАНИЕ
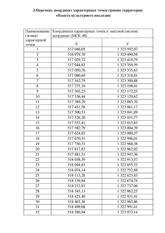
Приказ управления по охране объектов культурного наследия Липецкой области от 09.03.2023 № 88
"О включении выявленного объекта культурного наследия в единый государственный реестр объектов культурного наследия (памятников истории и культуры) народов Российской Федерации в качестве объекта культурного наследия регионального значения, об утверждении границ и режима использования его территории"
Номер опубликования: 4801202303160003
Дата опубликования: 16.03.2023
Страница №6 из 10:
Увеличить