Официальное опубликование правовых актов
ОФИЦИАЛЬНОЕ ОПУБЛИКОВАНИЕ
Приказ управления строительства и архитектуры Липецкой области от 16.01.2023 № 2
"Об утверждении проекта межевания территории с. Сселки в городе Липецке, в части квартала № 179 по улице Комарова"
Номер опубликования: 4801202301200008
Дата опубликования: 20.01.2023
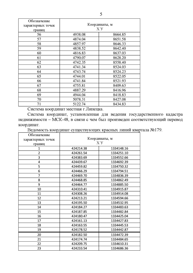
Страница №7 из 10:
Увеличить