Официальное опубликование правовых актов
ОФИЦИАЛЬНОЕ ОПУБЛИКОВАНИЕ
Постановление управления энергетики и тарифов Липецкой области от 22.12.2022 № 58/2
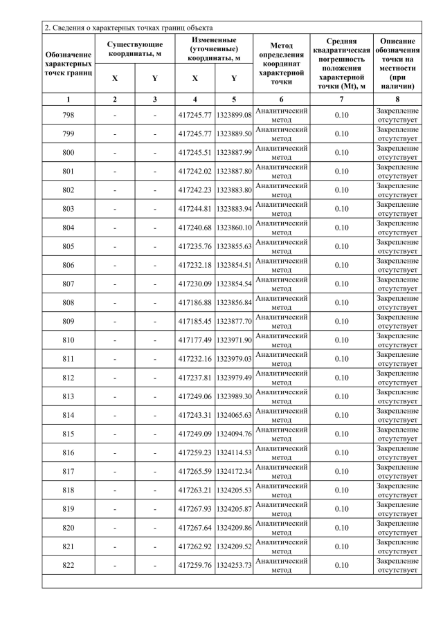
"О внесении изменения в постановление управления энергетики и тарифов Липецкой области от 23 октября 2015 года № 41/3 "Об утверждении границ охранной зоны газораспределительной сети"
Номер опубликования: 4801202212280020
Дата опубликования: 28.12.2022
Страница №36 из 183:
Увеличить