Официальное опубликование правовых актов
ОФИЦИАЛЬНОЕ ОПУБЛИКОВАНИЕ
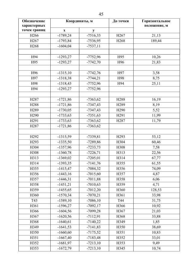
Приказ управления строительства и архитектуры Липецкой области от 13.12.2022 № 531
"Об утверждении проекта планировки и проекта межевания территории микрорайона "Елецкий" в городе Липецке, в части IV очереди строительства"
Номер опубликования: 4801202212200005
Дата опубликования: 20.12.2022
Страница №47 из 90:
Увеличить