Официальное опубликование правовых актов
ОФИЦИАЛЬНОЕ ОПУБЛИКОВАНИЕ
Постановление управления энергетики и тарифов Липецкой области от 25.11.2022 № 54/8
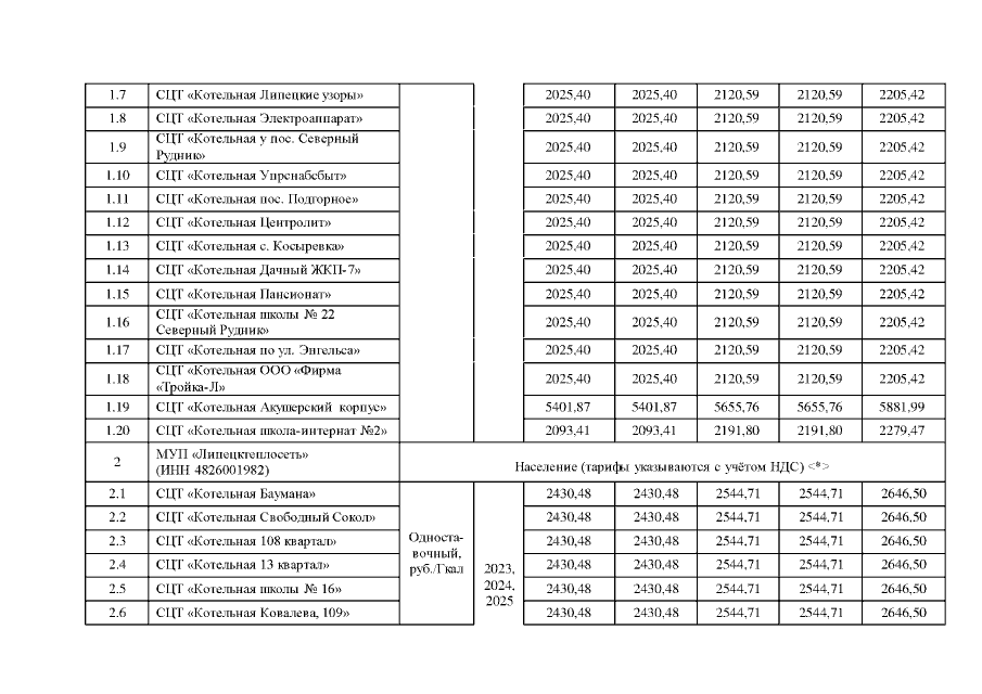
"О тарифах на тепловую энергию, долгосрочных параметрах регулирования, нормативе удельного расхода топлива при производстве тепловой энергии, нормативе технологических потерь при передаче тепловой энергии, поставляемой МУП "Липецктеплосеть" (ИНН 4826001982), на 2023-2025 годы и о введении тарифов на 2023 год в действие с 1 декабря 2022 года"
Номер опубликования: 4801202212020008
Дата опубликования: 02.12.2022
Страница №5 из 6:
Увеличить