Официальное опубликование правовых актов
ОФИЦИАЛЬНОЕ ОПУБЛИКОВАНИЕ
Постановление управления энергетики и тарифов Липецкой области от 21.11.2022 № 50/8
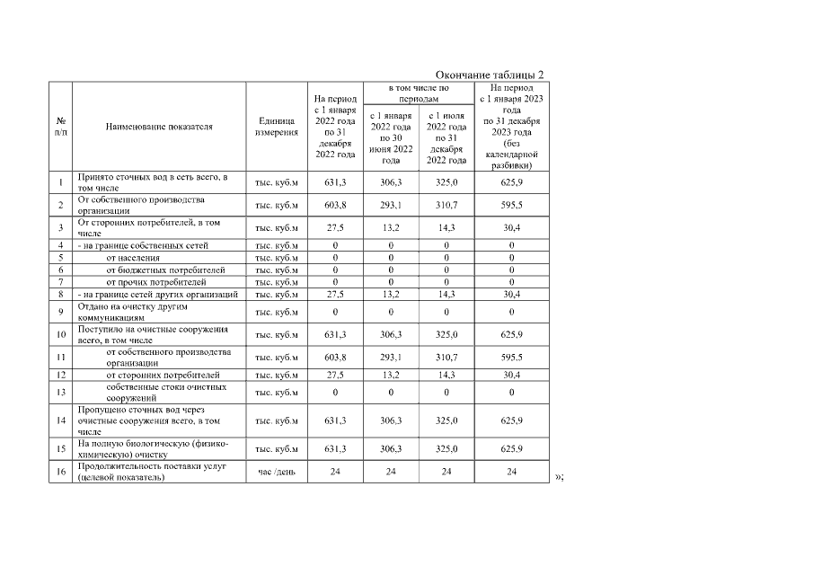
"О внесении изменений в постановление управления энергетики и тарифов Липецкой области от 17 декабря 2018 года № 51/8 "О тарифах на водоотведение и долгосрочных параметрах регулирования ООО "Агрофирма "Липецк" на 2019-2023 годы"
Номер опубликования: 4801202211280011
Дата опубликования: 28.11.2022
Страница №4 из 7:
Увеличить