Официальное опубликование правовых актов
ОФИЦИАЛЬНОЕ ОПУБЛИКОВАНИЕ
Постановление управления энергетики и тарифов Липецкой области от 21.11.2022 № 50/3
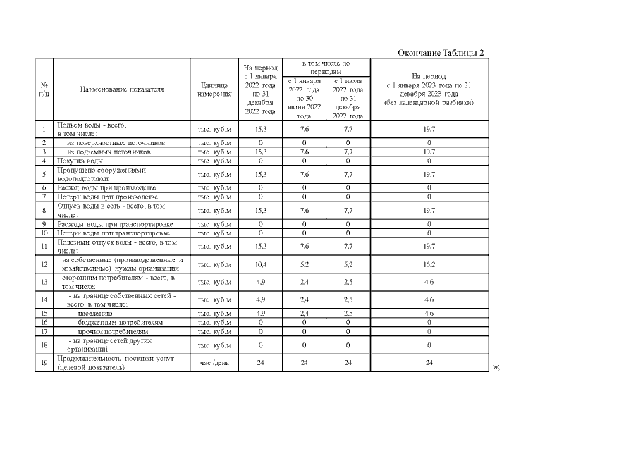
"О внесении изменений в постановление управления энергетики и тарифов Липецкой области от 17 декабря 2018 года № 51/3 "О тарифах на питьевую воду и долгосрочных параметрах регулирования АО "Транснефть-Дружба" (филиал "Мичуринское районное управление" НПС "Вербилово", НПС "Лубна") на территории Липецкой области на 2019-2023 годы"
Номер опубликования: 4801202211280009
Дата опубликования: 28.11.2022
Страница №4 из 7:
Увеличить