Официальное опубликование правовых актов
ОФИЦИАЛЬНОЕ ОПУБЛИКОВАНИЕ
Постановление управления энергетики и тарифов Липецкой области от 17.11.2022 № 48/21
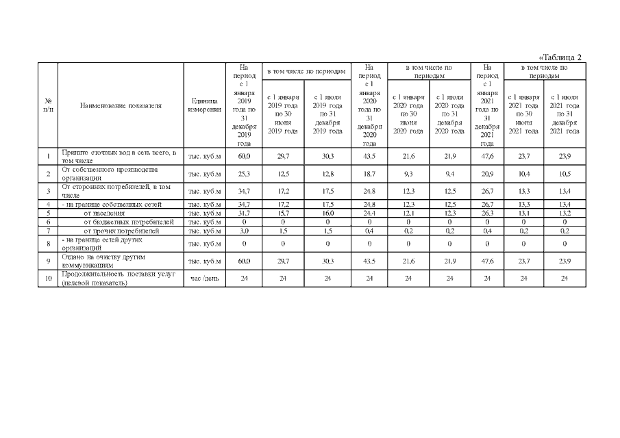
"О внесении изменений в постановление управления энергетики и тарифов Липецкой области от 19 декабря 2018 года № 53/59 "О тарифах на водоотведение и долгосрочных параметрах регулирования АО "ЛИМАК" (филиал "Подгоренский мукомольный завод") на 2019-2023 годы"
Номер опубликования: 4801202211240016
Дата опубликования: 24.11.2022
Страница №3 из 7:
Увеличить