Официальное опубликование правовых актов
ОФИЦИАЛЬНОЕ ОПУБЛИКОВАНИЕ
Постановление управления энергетики и тарифов Липецкой области от 17.11.2022 № 48/11
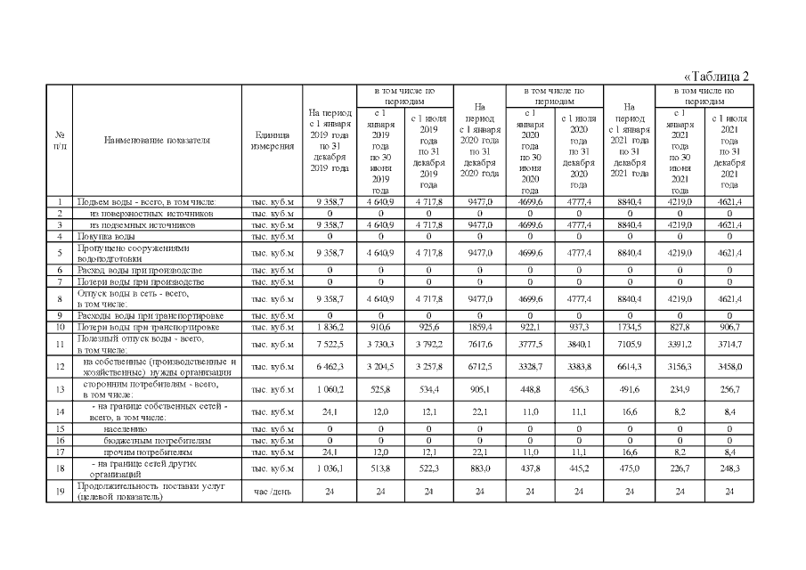
"О внесении изменений в постановление управления энергетики и тарифов Липецкой области от 19 декабря 2018 года № 53/8 "О тарифах на питьевую воду и долгосрочных параметрах регулирования ПАО "Новолипецкий металлургический комбинат" на 2019-2023 годы"
Номер опубликования: 4801202211240006
Дата опубликования: 24.11.2022
Страница №2 из 7:
Увеличить