Официальное опубликование правовых актов
ОФИЦИАЛЬНОЕ ОПУБЛИКОВАНИЕ
Постановление управления энергетики и тарифов Липецкой области от 17.11.2022 № 48/10
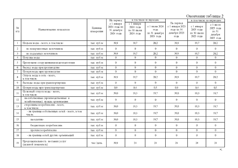
"О внесении изменений в постановление управления энергетики и тарифов Липецкой области от 10 декабря 2020 года № 41/7 "О тарифах на питьевую воду и долгосрочных параметрах регулирования индивидуального предпринимателя Саблина Владимира Александровича на 2021-2025 годы"
Номер опубликования: 4801202211240005
Дата опубликования: 24.11.2022
Страница №3 из 5:
Увеличить