Официальное опубликование правовых актов
ОФИЦИАЛЬНОЕ ОПУБЛИКОВАНИЕ
Постановление управления энергетики и тарифов Липецкой области от 17.11.2022 № 48/4
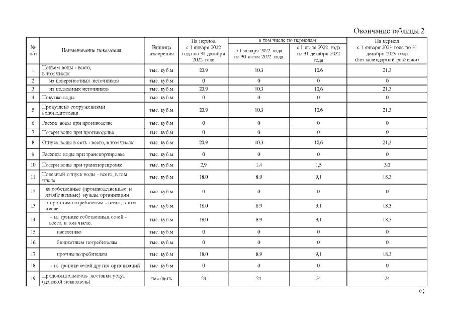
"О внесении изменений в постановление управления энергетики и тарифов Липецкой области от 19 декабря 2018 года № 53/13 "О тарифах на питьевую воду и долгосрочных параметрах регулирования ООО "ФИН-Групп" на 2019-2023 годы"
Номер опубликования: 4801202211240002
Дата опубликования: 24.11.2022
Страница №3 из 5:
Увеличить