Официальное опубликование правовых актов
ОФИЦИАЛЬНОЕ ОПУБЛИКОВАНИЕ
Постановление управления энергетики и тарифов Липецкой области от 17.11.2022 № 48/5
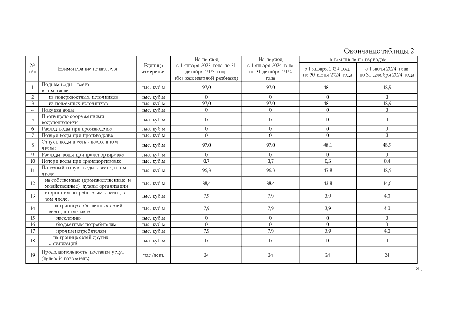
"О внесении изменений в постановление управления энергетики и тарифов Липецкой области от 13 декабря 2019 года № 44/2 "О тарифах на питьевую воду и долгосрочных параметрах регулирования АО "Липецкий хладокомбинат" на 2020-2024 годы"
Номер опубликования: 4801202211240001
Дата опубликования: 24.11.2022
Страница №3 из 5:
Увеличить