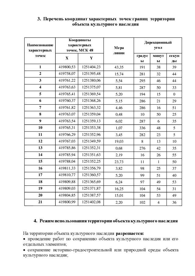
Приказ управления по охране объектов культурного наследия Липецкой области от 19.08.2022 № 202
"Об утверждении границ и режима использования территории объекта культурного наследия регионального значения "Жилой дом", XIX в., расположенного по адресу: Липецкая область, г. Елец, ул. Октябрьская, 129"
"Об утверждении границ и режима использования территории объекта культурного наследия регионального значения "Жилой дом", XIX в., расположенного по адресу: Липецкая область, г. Елец, ул. Октябрьская, 129"
Номер опубликования: 4801202208240005
Дата опубликования:
24.08.2022
