Официальное опубликование правовых актов
ОФИЦИАЛЬНОЕ ОПУБЛИКОВАНИЕ
Постановление управления энергетики и тарифов Липецкой области от 20.06.2022 № 23
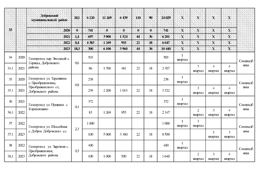
"О внесении изменения в постановление управления энергетики и тарифов Липецкой области от 24 декабря 2019 года № 50/3 "Об утверждении "Программы газификации и реконструкции газораспределительных сетей Липецкой области на 2020-2023 годы"
Номер опубликования: 4801202206220002
Дата опубликования: 22.06.2022
Страница №9 из 27:
Увеличить