Официальное опубликование правовых актов
ОФИЦИАЛЬНОЕ ОПУБЛИКОВАНИЕ
Приказ Управления имущественных и земельных отношений Липецкой области от 09.03.2022 № 29
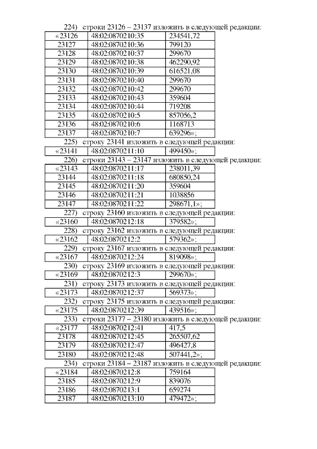
"О внесении изменений в приказ управления имущественных и земельных отношений Липецкой области от 27 октября 2021 года № 120 "Об утверждении результатов определения кадастровой стоимости земельных участков категории земель населенных пунктов на территории Липецкой области и среднего уровня кадастровой стоимости земель населенных пунктов по муниципальным районам (городским округам) Липецкой области"
Номер опубликования: 4801202203150001
Дата опубликования: 15.03.2022
Страница №19 из 33:
Увеличить