Официальное опубликование правовых актов
ОФИЦИАЛЬНОЕ ОПУБЛИКОВАНИЕ
Постановление Управления энергетики и тарифов Липецкой области от 26.01.2022 № 1/2
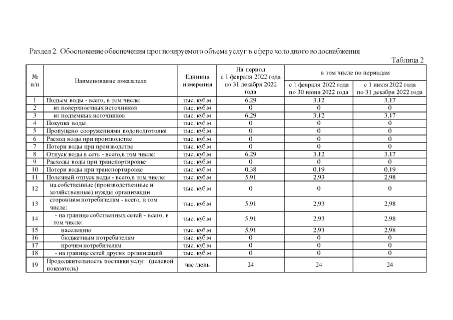
"О тарифах на питьевую воду ОАО "Российские железные дороги" (ИНН 7708503727) на территории села Казаки сельского поселения Казацкий сельсовет Елецкого муниципального района, ж.-д. ст. Пажень сельского поселения Нижневоргольский сельсовет Елецкого муниципального района, ж.-д. ст. Лопатино сельского поселения Петровский сельсовет Измалковского муниципального района Липецкой области на период с 1 февраля 2022 года по 31 декабря 2022 года"
Номер опубликования: 4801202201280004
Дата опубликования: 28.01.2022
Страница №4 из 7:
Увеличить