Официальное опубликование правовых актов
ОФИЦИАЛЬНОЕ ОПУБЛИКОВАНИЕ
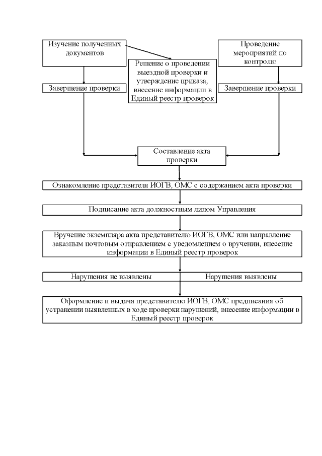
Приказ Управления дорог и транспорта Липецкой области от 13.12.2021 № 448
"Об утверждении Административного регламента осуществления государственного контроля (надзора) в области организации дорожного движения в Липецкой области"
Номер опубликования: 4801202112230028
Дата опубликования: 23.12.2021
Страница №31 из 39:
Увеличить