Официальное опубликование правовых актов
ОФИЦИАЛЬНОЕ ОПУБЛИКОВАНИЕ
Приказ Управления экологии и природных ресурсов Липецкой области от 13.12.2021 № 418
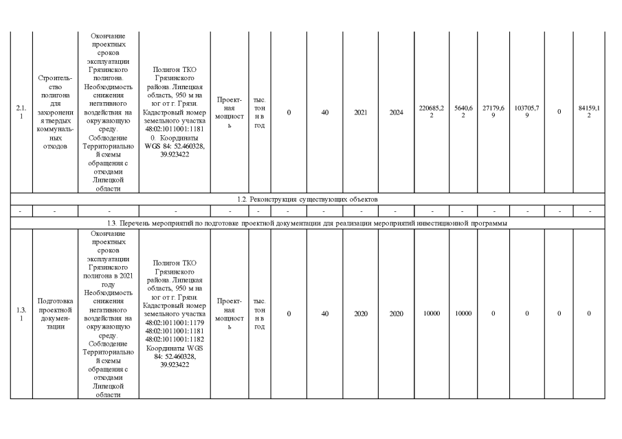
"О внесении изменений в приказ управления экологии и природных ресурсов Липецкой области от 19 декабря 2019 года № 474 "Об утверждении инвестиционной программы ООО "Чистый город" в области обращения с твердыми коммунальными отходами на 2020-2023 годы"
Номер опубликования: 4801202112160008
Дата опубликования: 16.12.2021
Страница №4 из 9:
Увеличить