Официальное опубликование правовых актов
ОФИЦИАЛЬНОЕ ОПУБЛИКОВАНИЕ
Постановление Управления энергетики и тарифов Липецкой области от 09.12.2021 № 39/1
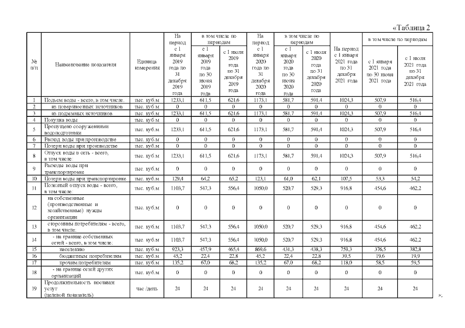
"О внесении изменений в постановление управления энергетики и тарифов Липецкой области от 19 декабря 2018 года № 53/37 "О тарифах на питьевую воду и долгосрочных параметрах регулирования ОГУП "Липецкоблводоканал" на 2019-2023 годы"
Номер опубликования: 4801202112150012
Дата опубликования: 15.12.2021
Страница №155 из 191:
Увеличить