Официальное опубликование правовых актов
ОФИЦИАЛЬНОЕ ОПУБЛИКОВАНИЕ
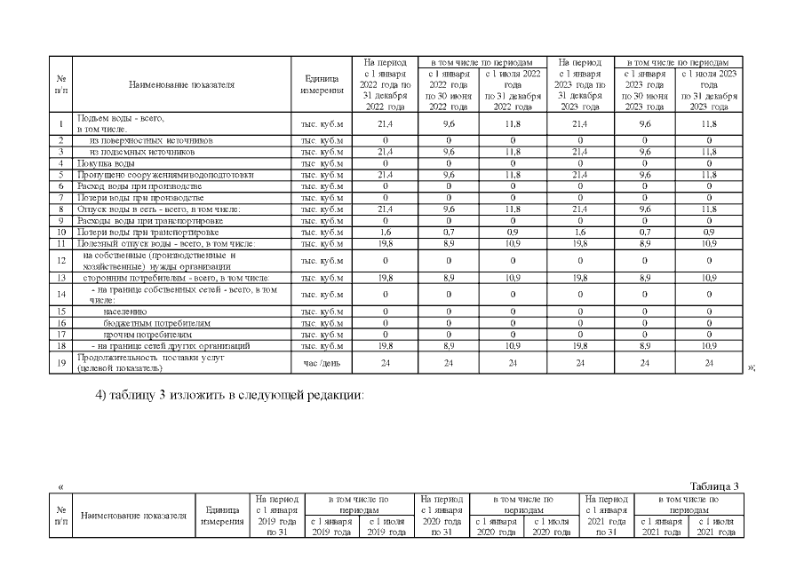
Постановление Управления энергетики и тарифов Липецкой области от 10.12.2021 № 40/1
"О внесении изменений в постановление управления энергетики и тарифов Липецкой области от 17 декабря 2018 года № 51/1 "О тарифах на питьевую воду и долгосрочных параметрах регулирования ОАО "Российские железные дороги" на территории Липецкой области на 2019-2023 годы"
Номер опубликования: 4801202112150010
Дата опубликования: 15.12.2021
Страница №10 из 21:
Увеличить