Официальное опубликование правовых актов
ОФИЦИАЛЬНОЕ ОПУБЛИКОВАНИЕ
Постановление Управления энергетики и тарифов Липецкой области от 09.12.2021 № 39/4
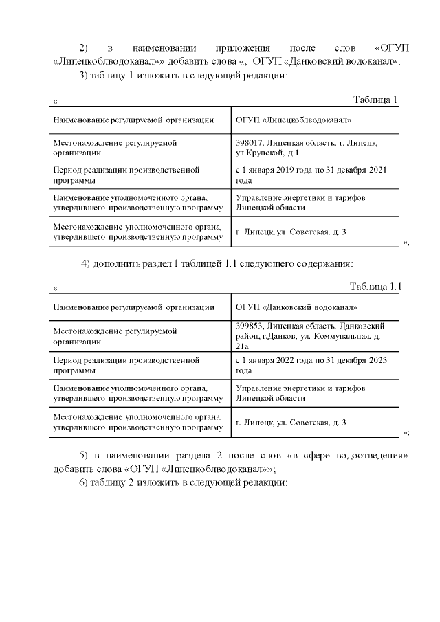
"О внесении изменений в постановление управления энергетики и тарифов Липецкой области от 19 декабря 2018 года № 53/40 "О тарифах на водоотведение и долгосрочных параметрах регулирования ОГУП "Липецкоблводоканал" на 2019-2023 годы"
Номер опубликования: 4801202112140009
Дата опубликования: 14.12.2021
Страница №3 из 133:
Увеличить