Официальное опубликование правовых актов
ОФИЦИАЛЬНОЕ ОПУБЛИКОВАНИЕ
Постановление Управления энергетики и тарифов Липецкой области от 18.06.2021 № 14/4
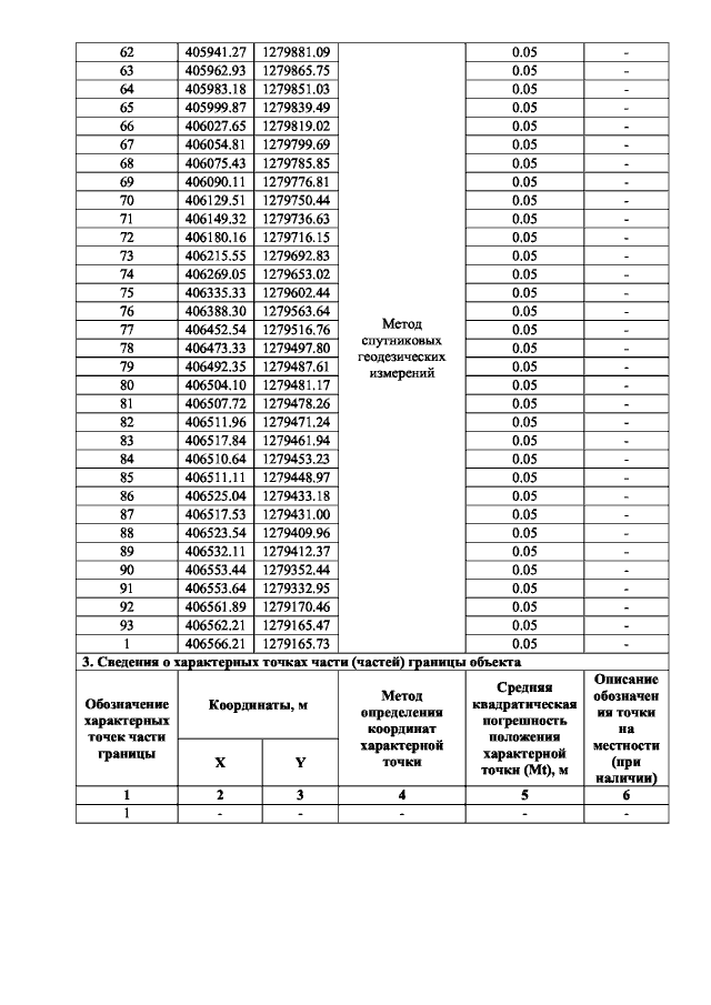
"Об утверждении границ охранных зон газораспределительных сетей АО "Газпром газораспределение Липецк"
Номер опубликования: 4801202106250004
Дата опубликования: 25.06.2021
Страница №228 из 286:
Увеличить