Официальное опубликование правовых актов
ОФИЦИАЛЬНОЕ ОПУБЛИКОВАНИЕ
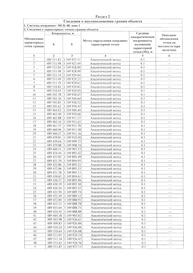
Постановление Управления энергетики и тарифов Липецкой области от 12.03.2021 № 4/1
"Об утверждении границ охранных зон газораспределительных сетей АО "Газпром газораспределение Липецк"
Номер опубликования: 4801202103160009
Дата опубликования: 16.03.2021
Страница №272 из 323:
Увеличить