Официальное опубликование правовых актов
ОФИЦИАЛЬНОЕ ОПУБЛИКОВАНИЕ
Приказ Управления по охране объектов культурного наследия Липецкой области от 24.12.2020 № 265
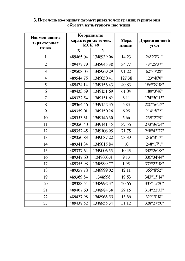
"Об утверждении границ и режима использования территории объекта культурного наследия регионального значения "Дом Меньшикова, начало XVIII в.", расположенного по адресу: Липецкая область, Чаплыгинский район, г. Чаплыгин, ул. К. Маркса, д. 43а"
Номер опубликования: 4801202012290013
Дата опубликования: 29.12.2020
Страница №5 из 7:
Увеличить