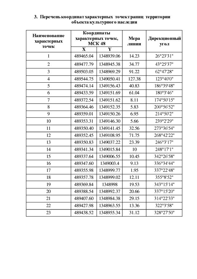
Приказ Управления по охране объектов культурного наследия Липецкой области от 24.12.2020 № 266
"Об утверждении границ и режима использования территории объекта культурного наследия регионального значения "Дом, относящийся к Раненбургской крепости Петровских времен, 1703 г.", расположенного по адресу: Липецкая область, Чаплыгинский район, г. Чаплыгин, ул. К. Маркса"
"Об утверждении границ и режима использования территории объекта культурного наследия регионального значения "Дом, относящийся к Раненбургской крепости Петровских времен, 1703 г.", расположенного по адресу: Липецкая область, Чаплыгинский район, г. Чаплыгин, ул. К. Маркса"
Номер опубликования: 4801202012290002
Дата опубликования:
29.12.2020
