Официальное опубликование правовых актов
ОФИЦИАЛЬНОЕ ОПУБЛИКОВАНИЕ
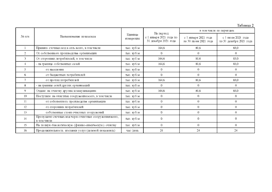
Постановление Управления энергетики и тарифов Липецкой области от 14.12.2020 № 43/1
"О тарифах на транспортировку сточных вод федерального государственного бюджетного учреждения "Центральное жилищно-коммунальное управление" Министерства обороны Российской Федерации на территории Липецкой области на 2021 год"
Номер опубликования: 4801202012210011
Дата опубликования: 21.12.2020
Страница №4 из 6:
Увеличить