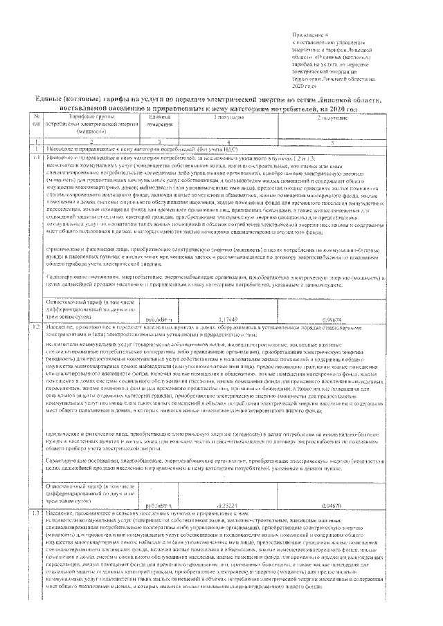
Постановление Управления энергетики и тарифов Липецкой области от 25.12.2019 № 51/3
"О единых (котловых) тарифах на услуги по передаче электрической энергии на территории Липецкой области на 2020 год"
"О единых (котловых) тарифах на услуги по передаче электрической энергии на территории Липецкой области на 2020 год"
Номер опубликования: 4801201912270003
Дата опубликования:
27.12.2019
