Официальное опубликование правовых актов
ОФИЦИАЛЬНОЕ ОПУБЛИКОВАНИЕ
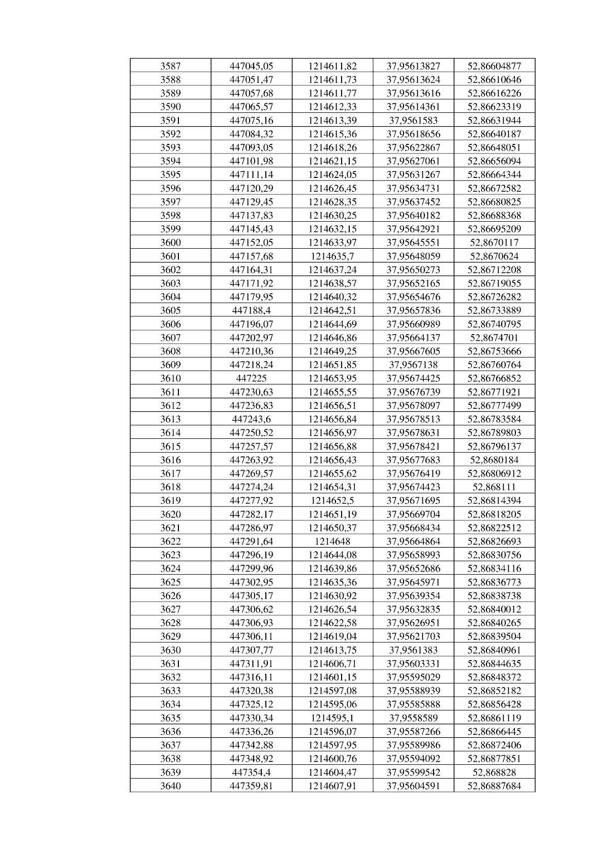
Постановление Правительства Липецкой области от 09.04.2026 № 203
"Об установлении местоположения береговой линии (границы водного объекта), границы водоохранных зон и границы прибрежных защитных полос реки Семенек"
Номер опубликования: 4800202604100002
Дата опубликования: 10.04.2026
Страница №70 из 1108:
Увеличить