Официальное опубликование правовых актов
ОФИЦИАЛЬНОЕ ОПУБЛИКОВАНИЕ
Постановление Правительства Липецкой области от 09.04.2026 № 204
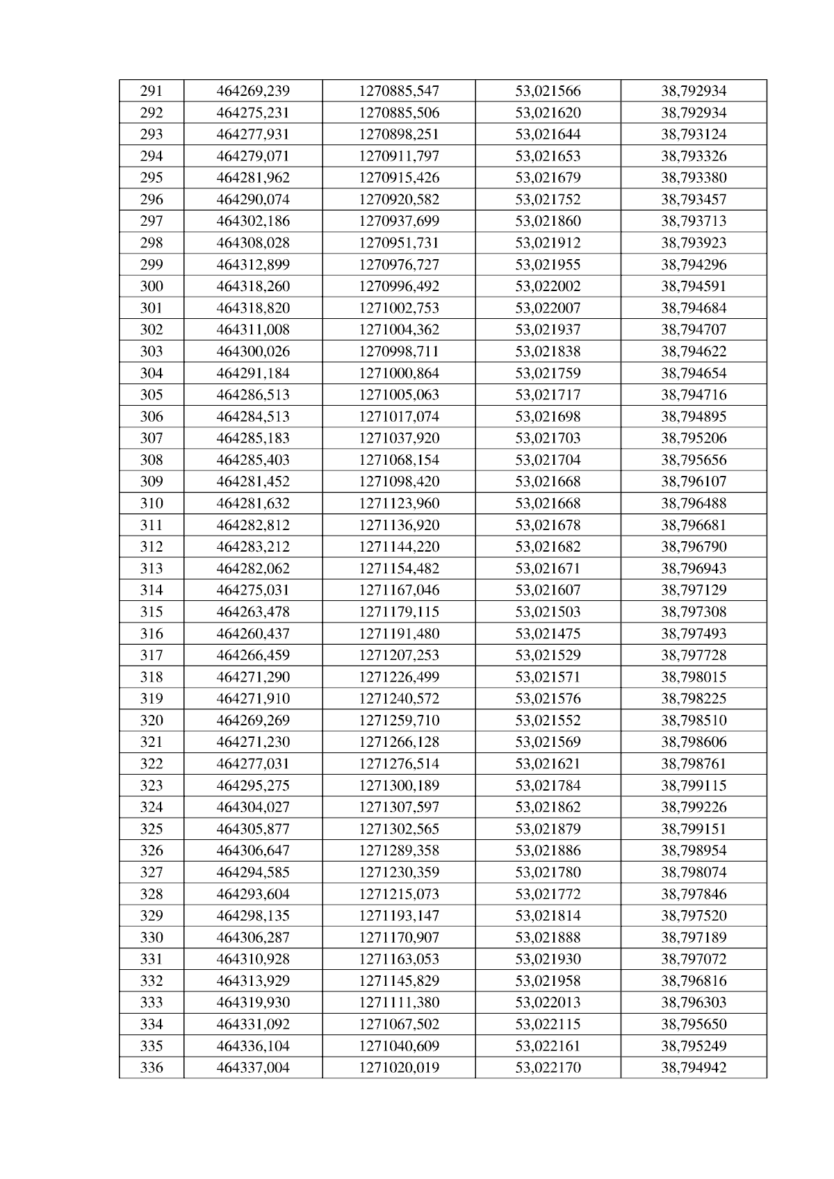
"Об установлении местоположения береговой линии (границы водного объекта), границы водоохранных зон и границы прибрежных защитных полос реки Семенек (Сухой Семенек), ручья Студеный"
Номер опубликования: 4800202604100001
Дата опубликования: 10.04.2026
Страница №10 из 949:
Увеличить