Официальное опубликование правовых актов
ОФИЦИАЛЬНОЕ ОПУБЛИКОВАНИЕ
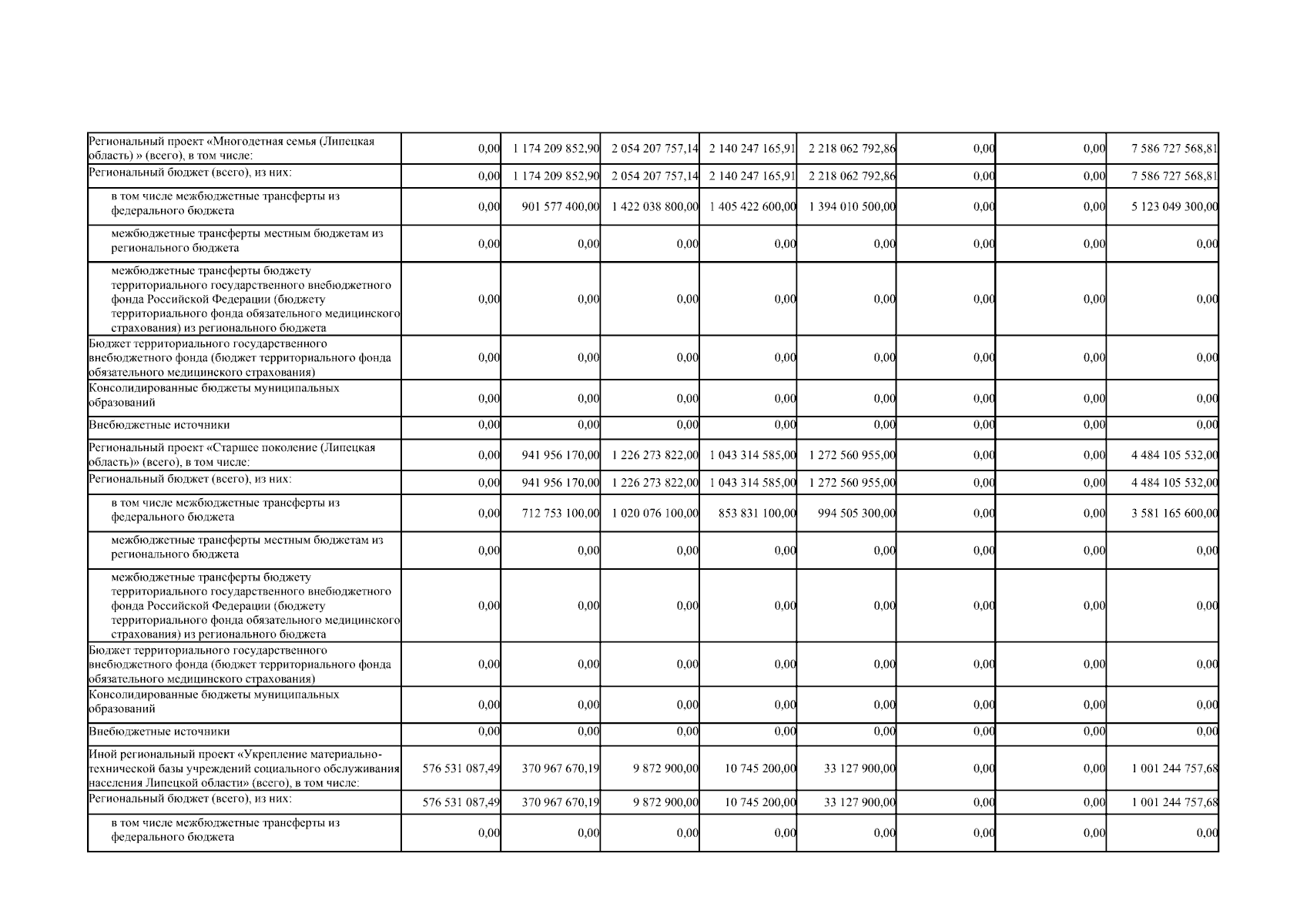
Постановление Правительства Липецкой области от 04.03.2026 № 60 "О внесении изменений в постановление Правительства Липецкой области от 28 декабря 2023 года № 811 "Об утверждении государственной программы Липецкой области "Социальная поддержка граждан, реализация семейно-демографической политики Липецкой области"
Номер опубликования: 4800202603050004
Дата опубликования: 05.03.2026
Страница №5 из 19:
Увеличить