Официальное опубликование правовых актов
ОФИЦИАЛЬНОЕ ОПУБЛИКОВАНИЕ
Постановление Правительства Липецкой области от 10.02.2026 № 38
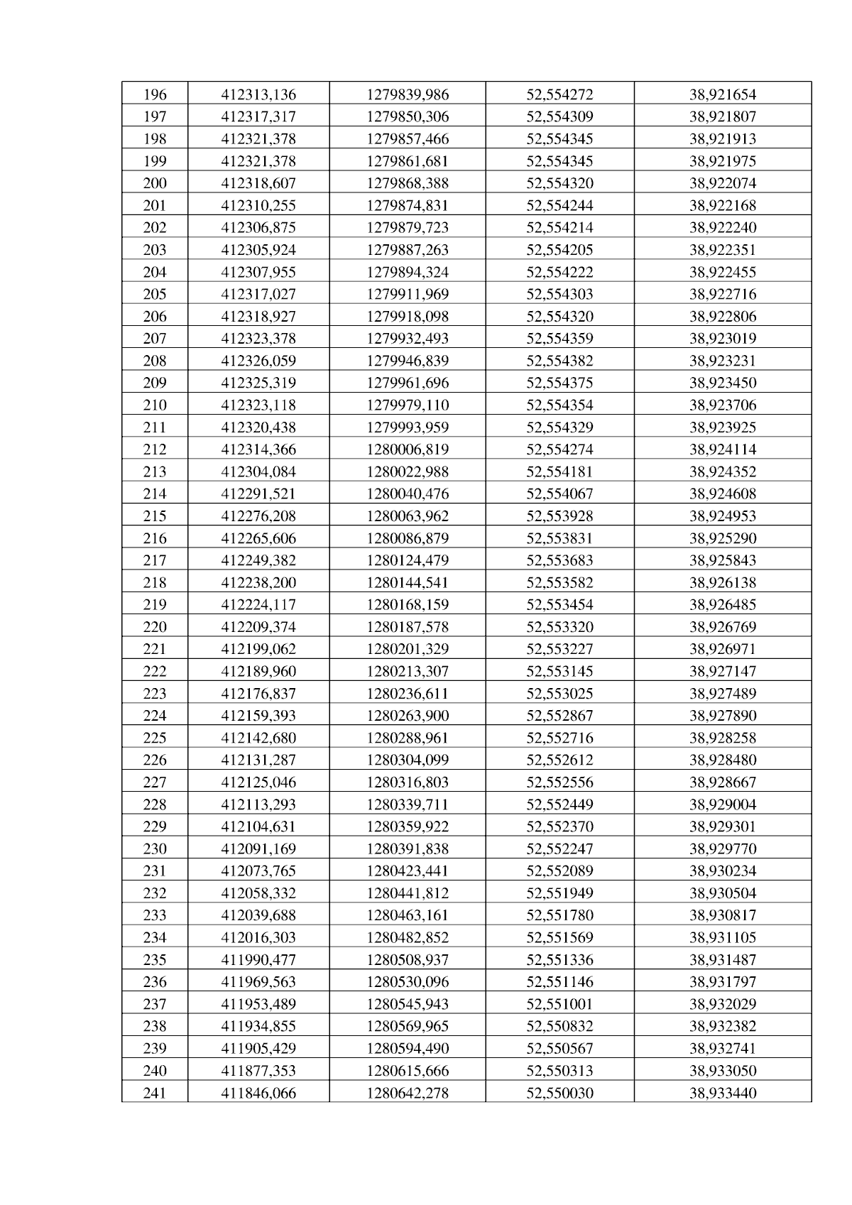
"Об установлении местоположения береговой линии (границы водного объекта), границы водоохранных зон и границы прибрежных защитных полос реки Кузьминка, балки Коротыш, ручья б/н у д. Синявка (руч. Синявка)"
Номер опубликования: 4800202602120006
Дата опубликования: 12.02.2026
Страница №992 из 1071:
Увеличить