Официальное опубликование правовых актов
ОФИЦИАЛЬНОЕ ОПУБЛИКОВАНИЕ
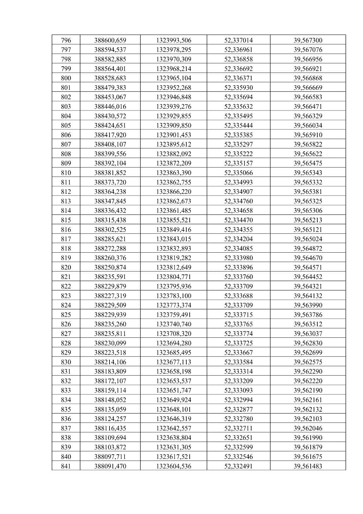
Постановление Правительства Липецкой области от 10.02.2026 № 39
"Об установлении местоположения береговой линии (границы водного объекта), границы водоохранных зон и границы прибрежных защитных полос реки Кривка, ручья Ериловка, водохранилища на р. Кривка"
Номер опубликования: 4800202602120005
Дата опубликования: 12.02.2026
Страница №122 из 1004:
Увеличить