Официальное опубликование правовых актов
ОФИЦИАЛЬНОЕ ОПУБЛИКОВАНИЕ
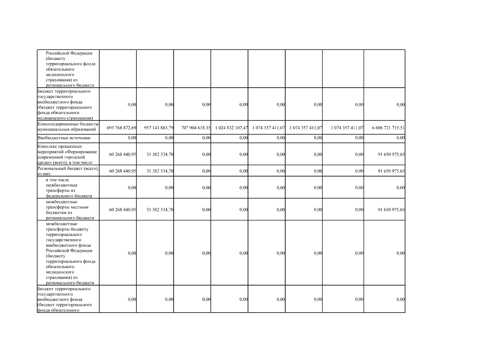
Постановление Правительства Липецкой области от 10.02.2026 № 35
"О внесении изменений в постановление Правительства Липецкой области от 26 декабря 2023 года № 770 "Об утверждении государственной программы Липецкой области "Обеспечение населения Липецкой области качественными коммунальными услугами и формирование современной городской среды"
Номер опубликования: 4800202602120001
Дата опубликования: 12.02.2026
Страница №9 из 10:
Увеличить