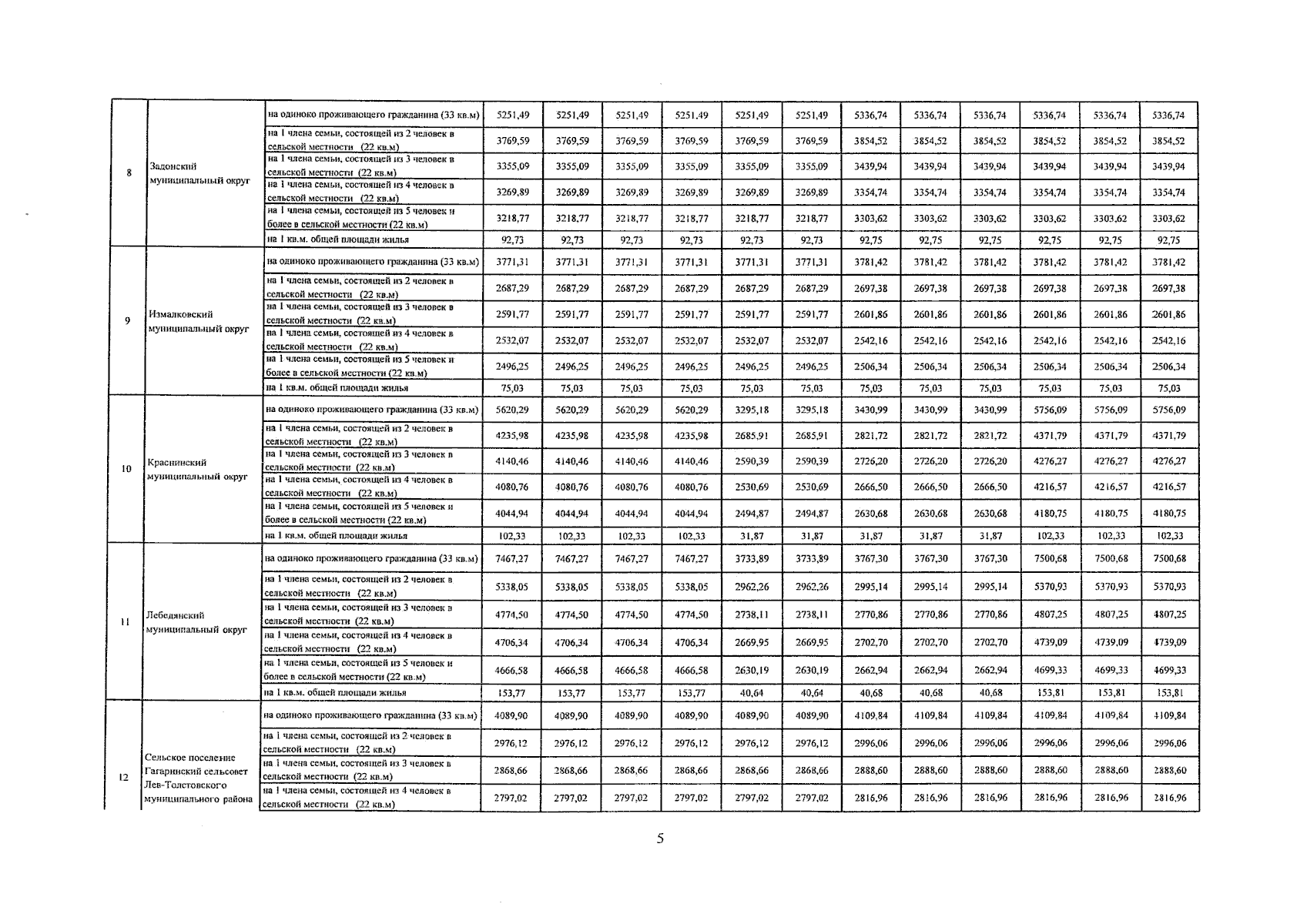
Постановление Липецкого областного Совета депутатов от 11.12.2025 № 2035-пс "Об установлении размеров региональных стандартов стоимости жилищно-коммунальных услуг в Липецкой области на 2026 год"
Номер опубликования: 4800202512150008
Дата опубликования:
15.12.2025
